Send Close Add comments: (status displays here)
Got it!  This site "www.robinsnyder.org" uses cookies. You consent to this by clicking on "Got it!" or by continuing to use this website.  Note: This appears on each machine/browser from which this site is accessed.
Locate
by RS  admin@robinsnyder.org : 1024 x 640


1. Locate
Here are items for which to locate links to content on this web site. After selecting, scroll down to see tho links to more content.
        •  Pages by title [340]
        •  Puzzles [2]
        •  German [6]
        •  Modern Greek [13]
        •  Latin [16]
        •  Portuguese [2]
        •  Russian [4]
        •  Diagrams [21]
        •  Equations [44]
        •  Expression trees [18]
        •  Music [1]
        •  Syntax diagrams [4]
        •  Acronyms [240]
        •  People [57]
        •  Program code [326]


        •  1d distance formula [EuclideanDistances] 1d distance formula
 
        •  2d distance formula [EuclideanDistances] 2d distance formula
 
        •  3d distance formula [EuclideanDistances] 3d distance formula
 
        •  A and B to C [GraphicalModels] A and B to C
 

        •  A to B to C [GraphicalModels] A to B to C
 
        •  Bayes Rule [BayesianStatisticsIntro] Bayes Rule
 

        •  Bayes Rule [BayesianStatisticsIntro] Bayes Rule
 

        •  Bayes Rule for models [BayesianStatisticsIntro]
        •  Bayes Rule for models [BayesianStatisticsIntro]
        •  Bayes Rule for models [BayesianStatisticsIntro] Bayes Rule for models
 

        •  Bayes rule [BayesianStatisticsIntro] Bayes rule
 

        •  Bayes rule [BayesianStatisticsIntro] Bayes rule
 

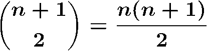
        •  Binomial coefficient [MathTriangularNumbers] Binomial coefficient
 
        •  C to A and B [GraphicalModels] C to A and B
 

        •  Conditional probability [BayesianStatisticsIntro] Conditional probability
 

        •  Conditional probability [BayesianStatisticsIntro] Conditional probability
 
        •  Entropy function equation [EntropyFunction] Entropy function equation
 

        •  Entropy function equation [EntropyFunctionMore] Entropy function equation
 
        •  Factorial number sum of 153 [MathFishNumber] Factorial number sum of 153
 

        •  For all that you do [EquivalenceRelations] For all that you do
 

        •  For all that you do [MathDefineReflexive] For all that you do
 
        •  Gift total for the twelve days of Christmas [MathTriangularNumbers] Gift total for the twelve days of Christmas
 

        •  Gift total for the twelve days of Christmas [TriangularNumber12] Gift total for the twelve days of Christmas
 

        •  Graphical model [GraphicalModels] Graphical model
 
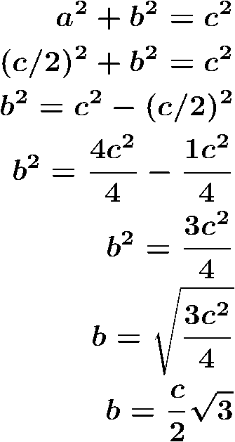
        •  Height determination [MathRegularTriangle] Height determination
 
        •  LSI equation [LatentSemanticAnalysis] LSI equation
 

        •  LSI equation [LatentSemanticAnalysis] LSI equation
 

        •  LSI equation [LatentSemanticAnalysis] LSI equation
 

        •  LSI equation [LatentSemanticAnalysis] LSI equation
 

        •  LSI equation [LatentSemanticAnalysis] LSI equation
 

        •  LSI equation [LatentSemanticAnalysis] LSI equation
 

        •  LSI equation [LatentSemanticAnalysis] LSI equation
 
        •  Rational number [MathRatioApprox] Rational number
 

        •  Reflexive property [EquivalenceRelations] Reflexive property
 

        •  Reflexive property [EquivalenceRelations] Reflexive property
 

        •  Reflexive property [MathDefineReflexive] Reflexive property
 

        •  Reflexive property [MathDefineReflexive] Reflexive property
 
        •  Square root of three [MathRatioApprox] Square root of three
 

        •  Square root of three [MathRatioApprox] Square root of three
 

        •  Sum of cubed digits of 153 [MathFishNumber] Sum of cubed digits of 153
 

        •  Sum of squares yielding 153 [MathFishNumber] Sum of squares yielding 153
 

        •  Symmetric property [EquivalenceRelations] Symmetric property
 
        •  Transitive property [EquivalenceRelations] Transitive property
 

        •  Triangular number equation [MathTriangularNumbers] Triangular number equation
 

        •  Triangular number sum of 153 [MathFishNumber] Triangular number sum of 153
 
        •  color distance formula [ColorAnalysis] color distance formula
 

        •  column vector [LatentSemanticAnalysis] column vector
 
        •  documents [LatentSemanticAnalysis] documents
 
        •  equation for area integral [DiscreteIntegration] equation for area integral
 
        •  factor [LatentSemanticAnalysis] factor
 
        •  map distance formula [MapDistances] map distance formula
 
        •  number of documents [LatentSemanticAnalysis] number of documents
 
        •  row vecwor [LatentSemanticAnalysis] row vecwor
 
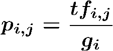
        •  tdif [LatentSemanticAnalysis] tdif
 

        •  term frequency [LatentSemanticAnalysis] term frequency
 

        •  terms [LatentSemanticAnalysis] terms
 
        •  white in A [StatsSetTheory] white in A
 

        •  width to height of fish [MathFishNumber] width to height of fish
 

        •  width to height of fish [MathFishNumber] width to height of fish
 

2. End of page

by RS  admin@robinsnyder.org : 1024 x 640

"NULL""NULL""NULL""NULL""NULL""NULL""NULL""NULL""NULL""NULL""NULL""NULL""NULL""NULL""NULL""NULL""NULL""NULL""NULL""NULL""NULL""NULL""NULL""NULL""NULL""NULL""NULL""NULL""NULL""NULL""NULL""NULL""NULL""NULL""NULL""NULL""NULL""NULL""NULL""NULL""NULL""NULL""NULL""NULL""NULL""NULL""NULL""NULL""NULL""NULL""NULL""NULL""NULL""NULL""NULL""NULL""NULL"