Send Close Add comments: (status displays here)
Got it!  This site "www.robinsnyder.org" uses cookies. You consent to this by clicking on "Got it!" or by continuing to use this website.  Note: This appears on each machine/browser from which this site is accessed.
Locate
by RS  admin@robinsnyder.org : 1024 x 640


1. Locate
Here are items for which to locate links to content on this web site. After selecting, scroll down to see tho links to more content.
        •  Pages by title [340]
        •  Puzzles [2]
        •  German [6]
        •  Modern Greek [13]
        •  Latin [16]
        •  Portuguese [2]
        •  Russian [4]
        •  Diagrams [21]
        •  Equations [44]
        •  Expression trees [18]
        •  Music [1]
        •  Syntax diagrams [4]
        •  Acronyms [240]
        •  People [57]
        •  Program code [326]


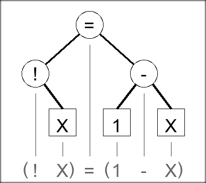
        •  Expression tree for (! X) = (1 - X) [BooleanUsingIntegers] Expression tree for (! X) = (1 - X)
 

        •  Expression tree for ((m ^ k) ^ k ) = m [OneTimePads] Expression tree for ((m ^ k) ^ k ) = m
 

        •  Expression tree for (3 + 4) * 5 [LuaExpressions] Expression tree for (3 + 4) * 5
 

        •  Expression tree for (X & Y) = (X * Y) [BooleanUsingIntegers] Expression tree for (X & Y) = (X * Y)
 

        •  Expression tree for (X & Y) | ((! X) & (! Y)) [TruthTablesProgrammed] Expression tree for (X & Y) | ((! X) & (! Y))
 

        •  Expression tree for (X & Y) | ((! X) & (! Y)) [TruthTablesProgrammed] Expression tree for (X & Y) | ((! X) & (! Y))
 

        •  Expression tree for (X & Y) | ((! X) & (! Y)) [TruthTablesProgrammed] Expression tree for (X & Y) | ((! X) & (! Y))
 

        •  Expression tree for (X & Y) | ((! X) & (! Y)) [DecisionTreesIntro] Expression tree for (X & Y) | ((! X) & (! Y))
 

        •  Expression tree for (X & Y) | ((! X) & (! Y)) [TruthTablesManual] Expression tree for (X & Y) | ((! X) & (! Y))
 

        •  Expression tree for (X & Y) | ((! X) & (! Y)) [TruthTablesManual] Expression tree for (X & Y) | ((! X) & (! Y))
 

        •  Expression tree for (X = Y) = ((X + Y + 1) % 2) [BooleanUsingIntegers] Expression tree for (X = Y) = ((X + Y + 1) % 2)
 

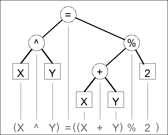
        •  Expression tree for (X ^ Y) = ((X + Y) % 2) [BooleanUsingIntegers] Expression tree for (X ^ Y) = ((X + Y) % 2)
 

        •  Expression tree for (X | Y) = ((X + Y) - (X * Y)) [BooleanUsingIntegers] Expression tree for (X | Y) = ((X + Y) - (X * Y))
 

        •  Expression tree for (a = 1) = a [TruthTablesManual] Expression tree for (a = 1) = a
 

        •  Expression tree for 3 + (4 * 5) [LuaExpressions] Expression tree for 3 + (4 * 5)
 

        •  Expression tree for X = Y [TruthTablesManual] Expression tree for X = Y
 

        •  Expression tree for a [TruthTablesManual] Expression tree for a
 

        •  Expression tree for a = 1 [TruthTablesManual] Expression tree for a = 1
 

        •  Expression tree for a ^ b [OneTimePads] Expression tree for a ^ b
 

        •  Expression tree for g = ((g & c) | (g & (! c))) [TruthTablesManual] Expression tree for g = ((g & c) | (g & (! c)))
 

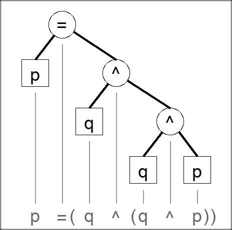
        •  Expression tree for p = ( q ^ ( q ^ p )) [OneTimePads] Expression tree for p = ( q ^ ( q ^ p ))
 

2. End of page

by RS  admin@robinsnyder.org : 1024 x 640

"NULL""NULL""NULL""NULL""NULL""NULL""NULL""NULL""NULL""NULL""NULL""NULL""NULL""NULL""NULL""NULL""NULL""NULL""NULL""NULL""NULL"